- From: Michael Welzl <
>
- To:
, Francesco Gringoli <
>
- Subject: ns-3 error: endless cwnd growth
- Date: Sat, 20 Jan 2018 18:31:09 +0100
Dear all, + Francesco because he has experience with ns-3, and this is 100%
an ns-3 thing, not related to our code at all:
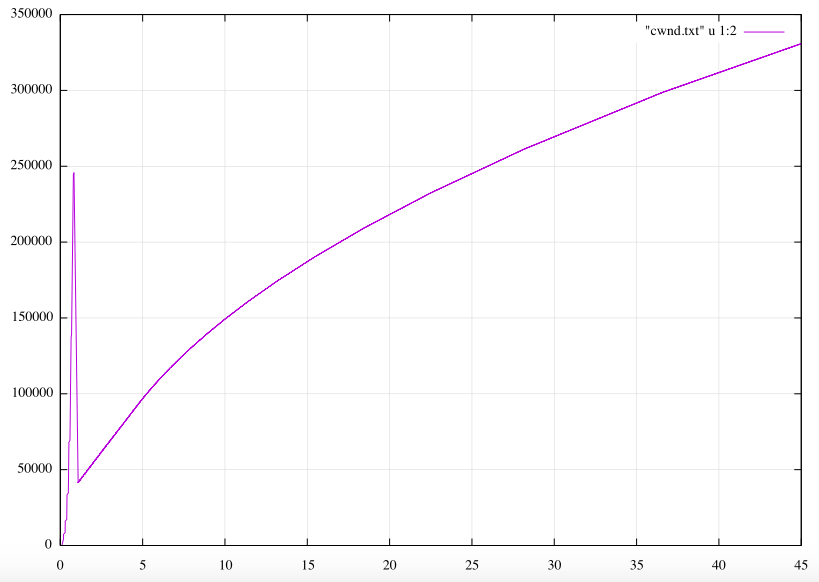
Iām seeing some problems with my evaluations because of a strange bug in
ns-3. This bug prevents the congestion window from growing above a value of
approximately 137k bytes, it seems.
Iām attaching an example script. Here TEB (my code) is disabled, and the
setup is plain and simple:
init cwnd = 3
8 Mbit/s bottleneck capacity
100 ms RTT
queue length: 28 packets
From the parameters above, the BDP should be 100000 bytes, i.e. 66.66 packets
(packets are of size 1500).
Add to this the queue length of 28 packets, and we get a max. cwnd of 94.66
packets. Expressed in segments (of size 1448), this is 137077.33.
This is the āgood caseā plotted below.
Now, add ONE packet to the queue, making it 29 packets long => and you get
the other plot (ābad caseā). I repeat, this is not my own code or anything -
just normal ns-3, and I think it happens whenever the cwnd exceeds a certain
length.
This gets really disturbing in my testbed experiments, I have to tune them to
limit the max cwnd :(
Does ANYBODY have a solution? Iād be happy! And the ns-3 people should be
happy too !
Cheers,
Michael
Attachment:
michaelssim.cc
Description: Binary data


- ns-3 error: endless cwnd growth, Michael Welzl
Archivio con motore MhonArc 2.6.16.